The 8 Most Remarkable Achievements of SDIAT in 2025
Release date: 2026-01-13
Visits: 351
Source: 山东高等技术研究院
The year 2025 marked a critical period for Shandong Institute of Advanced Technology (SDIAT) to consolidate its foundation for development. SDIAT continued to advance the construction of relevant laboratories and academic teams, promoted outstanding science through open and inclusive systems, and steadfastly pursued organized scientific research. Significant breakthroughs were achieved in fields such as space particle detection, precision measurement, and cryogenic technology.
The year 2025 marked a critical period for Shandong Institute of Advanced Technology (SDIAT) to consolidate its foundation for development. SDIAT continued to advance the construction of relevant laboratories and academic teams, promoted outstanding science through open and inclusive systems, and steadfastly pursued organized scientific research. Significant breakthroughs were achieved in fields such as space particle detection, precision measurement, and cryogenic technology.
-
Cosmic Ray Data Storage Reaches 259 Billion Entries, Topping the Global RankingsThe AMS Data Center at SDIAT houses AMS experiment software, raw flight data, and 259 billion cosmic ray data entries. The average utilization efficiency of computing resources exceeds 90%, storage and backup resources exceed 70%, and network resources exceed 90%. It has supported over 2.6 trillion operations of AMS experimental simulation algorithms, serving as a major international public scientific database.

-
Completion of the Full-System Integration of the AMS-02 Experiment L0 Silicon Microstrip DetectorSDIAT successfully developed and fully integrated the silicon microstrip detector as part of the international cooperation project for the major upgrade of the AMS experiment on the International Space Station. Cosmic ray tests were conducted to systematically verify the performance and long-term stability of the detector itself, front-end electronics, and data acquisition system. This achievement has accumulated valuable experience for the independent research and development of space high-energy physics detectors and international scientific cooperation.

-
Development of 90/150 GHz TES Detectors for the Focal Plane of the Primordial Gravitational Wave TelescopeCentering on the key project of developing focal plane detector modules for the primordial gravitational wave telescope, SDIAT independently developed focal plane detectors for China’s Ali CMB Polarization Telescope. A dual-polarization, dual-band single-pixel TES detector was successfully fabricated, whose saturation power and noise-equivalent power meet the application requirements of 90 GHz and 150 GHz CMB observations. This represents a significant step forward for primordial gravitational wave detection.

-
20-Fold Speed Increase in Quantum Super-Resolution Microscopy via Multi-Correlation Center Image Reconstruction TechnologyBy extracting entangled photon images corresponding to multiple correlation centers, SDIAT efficiently captured the spatial correlation information of entangled photons. Building on the realization of quantum super-resolution microscopy, the team succeeded in boosting the imaging speed by 20 times. This technology overcomes the long-standing bottleneck of slow imaging speed in quantum super-resolution microscopy, greatly enhancing its practical applicability.

-
Successful Preparation of Nanosilver Sintered Bodies with a Specific Surface Area Exceeding 3 m²/gA breakthrough was achieved in the low-temperature pressureless sintering and demolding process of nanosilver powder. Nanosilver sintered bodies with a specific surface area greater than 3.7 m²/g were successfully prepared, effectively addressing the heat exchange challenge of helium working fluid in the millikelvin temperature range. The related technology has reached the international advanced level.

-
Precise Measurement of the Cosmic Ray Lithium Isotope Energy Spectrum, Providing New Evidence for the Origin of LithiumLithium is one of the rarest elements in the solar system, and measuring the cosmic ray lithium isotope energy spectrum is crucial for understanding the formation and early evolution of the universe. By analyzing 970,000 lithium-6 and 1.04 million lithium-7 nuclear events collected by the AMS experiment, SDIAT measured the lithium isotope energy spectrum in the rigidity range of 1.9 GV to 25 GV. This represents the broadest energy range and highest-precision measurement to date, providing key constraints for the Big Bang theoretical model.

-
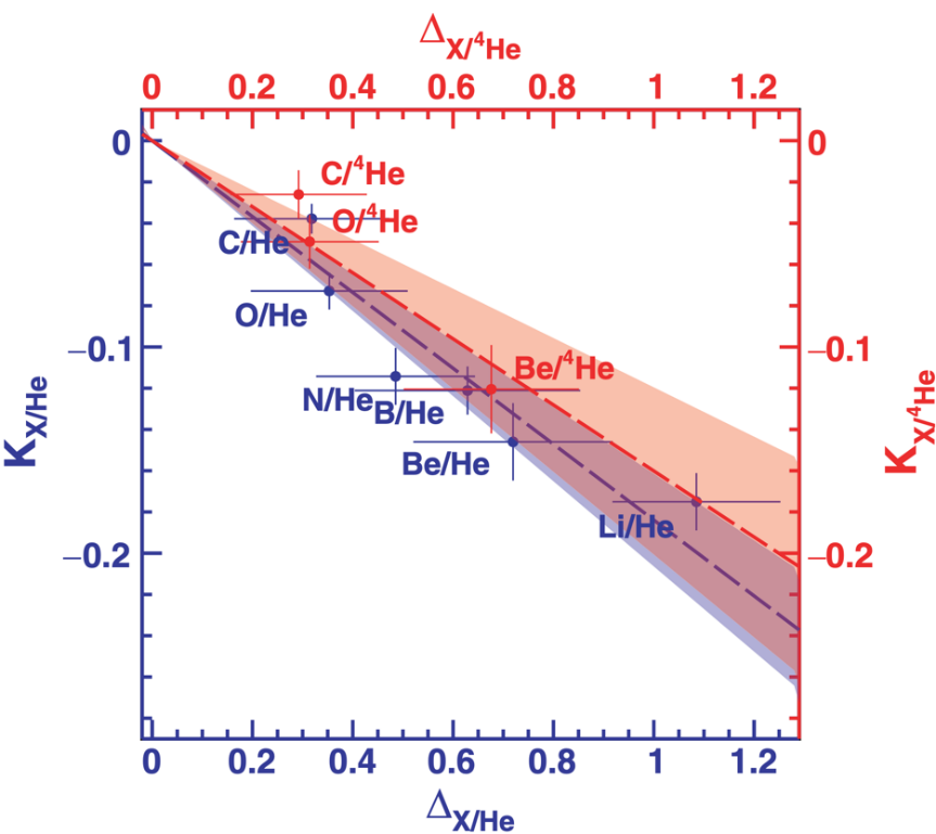
First-Ever Daily Flux Measurement of 6 Cosmic Ray Light Nuclei, Revealing New Time-Variation CharacteristicsLight nuclei in cosmic rays serve as a novel and unique tracer for studying the propagation of cosmic rays within the heliosphere. Based on cosmic ray data collected by AMS from 2011 to 2022, SDIAT completed the daily flux measurement of six light nuclei (lithium, beryllium, boron, carbon, nitrogen, and oxygen)—a world-first achievement. This work revealed numerous new characteristics of the time-varying fluxes of cosmic ray light nuclei.

-
First-Ever Time-Varying Flux Measurement of Cosmic Ray Antiprotons, Deepening the Understanding of Cosmic Ray Propagation in the HeliosphereAntiprotons in cosmic rays are extremely rare, and the time variation of their flux is vital for understanding the origin of cosmic rays and their propagation within the heliosphere. Using approximately 1.1 million antiproton events collected by AMS from 2011 to 2022, SDIAT achieved the first precise measurement of the time-varying antiproton flux. The team systematically compared the flux evolution patterns of antiprotons with three other fundamental cosmic ray particles carrying a charge of “1” (protons, electrons, and positrons), thereby deepening the understanding of cosmic ray propagation mechanisms in the heliosphere.
